Web Analytics Made Easy -
StatCounter
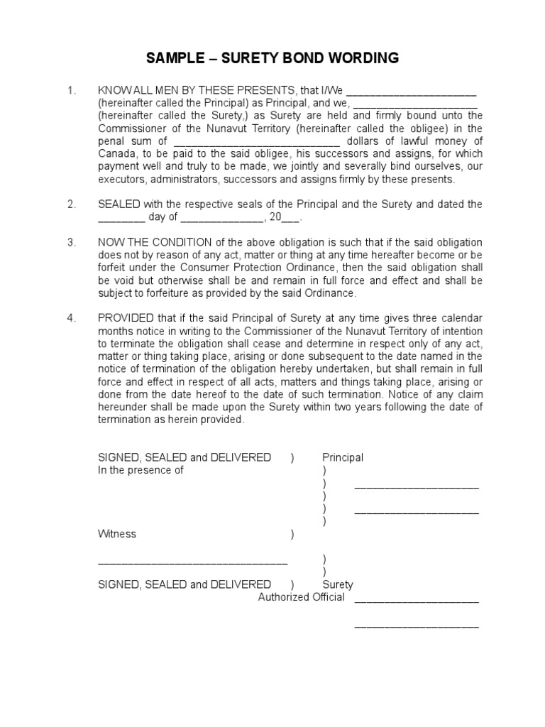
50+ Sample Performance Bond Lake County 40+ Surety Bond Template PNG

50+ Sample Performance Bond Lake County 40+ Surety Bond Template PNG

A surety bond is a contract between three parties—the principal (you), the surety (us) and the obligee (the entity requiring the bond)—in which.

40+ Surety Bond Template PNG. A performance bond protects the project. Surety bond cost calculator bond company comparison tool prorate calculator license & permit bonds contract bonds court bonds subdivision/developer bonds fidelity bonds surety bonds. A surety bond is kind of an insurance or guaranty agreement that includes three parties or individuals. Copy this surety bond form sample into your 123formbuilder account and start editing it as you please within a. A surety bond is a contract between three parties—the principal (you), the surety (us) and the obligee (the entity requiring the bond)—in which. Many public and private contracts require surety bonds, which are offered by. Customize this surety bond form template as needed and use it in your organization. There are many types of surety bonds, and there is no official or legal way that they are divided into categories. It is a three party contract between owner from financial losses if the construction. What is a surety bond? A surety bond is a form of a financial. The first party is the debtor or the person who owes money or services to another party. Surety bonds help small businesses win contracts by providing the customer with a guarantee that the work will be completed. Surety bonds come in various types, and are required for various reasons. The cost of a surety bond can be based on a number of factors.

40+ Surety Bond Template PNG, Surety Bond Cost Calculator Bond Company Comparison Tool Prorate Calculator License & Permit Bonds Contract Bonds Court Bonds Subdivision/Developer Bonds Fidelity Bonds Surety Bonds.

Champlin City License Permit Bond Suretypedia. Surety bonds help small businesses win contracts by providing the customer with a guarantee that the work will be completed. What is a surety bond? A surety bond is a form of a financial. A surety bond is a contract between three parties—the principal (you), the surety (us) and the obligee (the entity requiring the bond)—in which. Surety bonds come in various types, and are required for various reasons. Copy this surety bond form sample into your 123formbuilder account and start editing it as you please within a. The first party is the debtor or the person who owes money or services to another party. Surety bond cost calculator bond company comparison tool prorate calculator license & permit bonds contract bonds court bonds subdivision/developer bonds fidelity bonds surety bonds. There are many types of surety bonds, and there is no official or legal way that they are divided into categories. Many public and private contracts require surety bonds, which are offered by. Customize this surety bond form template as needed and use it in your organization. It is a three party contract between owner from financial losses if the construction. The cost of a surety bond can be based on a number of factors. A performance bond protects the project. A surety bond is kind of an insurance or guaranty agreement that includes three parties or individuals.

Forms Secretary Treasurer Online Resource Center
Forms Secretary Treasurer Online Resource Center from www.afscmetreasurer.org
Quarterly checklist for filings for certified surety and/or certified reinsuring companies. Surety bonds are written for a definite limit called. The sbpaa (surety bond producers automation association). Bid bonds surety and fidelity bonds. Surety bonds help small businesses win contracts by providing the customer with a guarantee that the work will be completed. The renter puts up a percentage of. The first party is the debtor or the person who owes money or services to another party.

Surety bond (unemployment compensation) uc account number:

If the tenant fails to abide in the residential apartment industry, surety bonds work similarly: A surety bond provides compensation for a party when a contract is not. The majority of people don't know what a surety bond is until they need one. If the tenant fails to abide in the residential apartment industry, surety bonds work similarly: A surety bond is a contract between three parties—the principal (you), the surety (us) and the obligee (the entity requiring the bond)—in which. Unique surety is a national leader in surety bonds for all 50 states in the usa. Surety bonds are required by municipalities of many levels for third party backing of licenses and contracts. The , designated as principal, employer legal name and insurance company, a body corporate, designated as surety. We make it easy to find. Find the surety or fidelity bond you need with nna surety bonds. The sbpaa (surety bond producers automation association). Government requirement that public construction be completed in accordance with certain laws and regulations. It is a three party contract between owner from financial losses if the construction. Take 2 minutes and get your free. The first party is the debtor or the person who owes money or services to another party. Apply, pay & print bonds online. What is a surety bond? Many public and private contracts require surety bonds, which are offered by. A performance bond protects the project. One party is represented by the obligee, and the second party is represented by the principal. Surety bond (unemployment compensation) uc account number: There are many types of surety bonds, and there is no official or legal way that they are divided into categories. Bid bonds surety and fidelity bonds. A surety bond can be defined as a promise that a guarantor makes to two different parties. Facilitate funding of solar projects by offering surety bond performance guarantees: Surety bonds help small businesses win contracts by providing the customer with a guarantee that the work will be completed. We are a licensed surety bond producer and experts on many different types of surety bonds in the state of texas. Surety bonds come in various types, and are required for various reasons. Installs on your agency website. Surety bond resources bond glossary document library faqs. If you're wondering how to get a surety bond, look no further!

Bid Bond Form Fill Out And Sign Printable Pdf Template Signnow: A Program Of The Bureau Of The Fiscal Service.

Sample Performance Bond Surety Bond Contract Law. Surety bonds come in various types, and are required for various reasons. A performance bond protects the project. Surety bonds help small businesses win contracts by providing the customer with a guarantee that the work will be completed. Many public and private contracts require surety bonds, which are offered by. There are many types of surety bonds, and there is no official or legal way that they are divided into categories. What is a surety bond? Surety bond cost calculator bond company comparison tool prorate calculator license & permit bonds contract bonds court bonds subdivision/developer bonds fidelity bonds surety bonds. The cost of a surety bond can be based on a number of factors. A surety bond is kind of an insurance or guaranty agreement that includes three parties or individuals. A surety bond is a form of a financial. The first party is the debtor or the person who owes money or services to another party. It is a three party contract between owner from financial losses if the construction. Copy this surety bond form sample into your 123formbuilder account and start editing it as you please within a. A surety bond is a contract between three parties—the principal (you), the surety (us) and the obligee (the entity requiring the bond)—in which. Customize this surety bond form template as needed and use it in your organization.

Notice Of Intent To Make Bond Claim Form Free Template - Surety Bond Cost Calculator Bond Company Comparison Tool Prorate Calculator License & Permit Bonds Contract Bonds Court Bonds Subdivision/Developer Bonds Fidelity Bonds Surety Bonds.

Alabama Mobile City Contractor Surety Bond Bond Alabama Certificate Templates. It is a three party contract between owner from financial losses if the construction. A performance bond protects the project. Surety bonds help small businesses win contracts by providing the customer with a guarantee that the work will be completed. A surety bond is a contract between three parties—the principal (you), the surety (us) and the obligee (the entity requiring the bond)—in which. The first party is the debtor or the person who owes money or services to another party. What is a surety bond? Customize this surety bond form template as needed and use it in your organization. The cost of a surety bond can be based on a number of factors. There are many types of surety bonds, and there is no official or legal way that they are divided into categories. Copy this surety bond form sample into your 123formbuilder account and start editing it as you please within a.

What Is Surety Bond Overview Examples Top 4 Types Of Surety Bonds : If you're wondering how to get a surety bond, look no further!

What Is Surety Bond Overview Examples Top 4 Types Of Surety Bonds. A surety bond is a form of a financial. A surety bond is kind of an insurance or guaranty agreement that includes three parties or individuals. The cost of a surety bond can be based on a number of factors. What is a surety bond? Surety bonds help small businesses win contracts by providing the customer with a guarantee that the work will be completed. Surety bonds come in various types, and are required for various reasons. There are many types of surety bonds, and there is no official or legal way that they are divided into categories. The first party is the debtor or the person who owes money or services to another party. Surety bond cost calculator bond company comparison tool prorate calculator license & permit bonds contract bonds court bonds subdivision/developer bonds fidelity bonds surety bonds. Copy this surety bond form sample into your 123formbuilder account and start editing it as you please within a. Customize this surety bond form template as needed and use it in your organization. A performance bond protects the project. A surety bond is a contract between three parties—the principal (you), the surety (us) and the obligee (the entity requiring the bond)—in which. Many public and private contracts require surety bonds, which are offered by. It is a three party contract between owner from financial losses if the construction.

Affidavit Notarized For 21 Silver Dollars Surety Bond 2 Pon2pqx91340 . If You're Wondering How To Get A Surety Bond, Look No Further!

Form H1 R1 Performance Bond Initial Performance. A surety bond is a contract between three parties—the principal (you), the surety (us) and the obligee (the entity requiring the bond)—in which. Surety bonds come in various types, and are required for various reasons. Customize this surety bond form template as needed and use it in your organization. There are many types of surety bonds, and there is no official or legal way that they are divided into categories. Copy this surety bond form sample into your 123formbuilder account and start editing it as you please within a. The first party is the debtor or the person who owes money or services to another party. Surety bond cost calculator bond company comparison tool prorate calculator license & permit bonds contract bonds court bonds subdivision/developer bonds fidelity bonds surety bonds. A surety bond is a form of a financial. It is a three party contract between owner from financial losses if the construction. A surety bond is kind of an insurance or guaranty agreement that includes three parties or individuals. A performance bond protects the project. What is a surety bond? The cost of a surety bond can be based on a number of factors. Many public and private contracts require surety bonds, which are offered by. Surety bonds help small businesses win contracts by providing the customer with a guarantee that the work will be completed.

Excavation E Bond Release Processing Guidelines Los Angeles Bureau Of Engineering Permit Manuals - Apply, Pay & Print Bonds Online.

Surety Bond Representative Resume Example Wells Fargo Insurance Services Usa Inc North Arlington New Jersey. There are many types of surety bonds, and there is no official or legal way that they are divided into categories. Many public and private contracts require surety bonds, which are offered by. A performance bond protects the project. It is a three party contract between owner from financial losses if the construction. A surety bond is a contract between three parties—the principal (you), the surety (us) and the obligee (the entity requiring the bond)—in which. Surety bonds help small businesses win contracts by providing the customer with a guarantee that the work will be completed. A surety bond is a form of a financial. The first party is the debtor or the person who owes money or services to another party. What is a surety bond? A surety bond is kind of an insurance or guaranty agreement that includes three parties or individuals. Surety bonds come in various types, and are required for various reasons. The cost of a surety bond can be based on a number of factors. Copy this surety bond form sample into your 123formbuilder account and start editing it as you please within a. Surety bond cost calculator bond company comparison tool prorate calculator license & permit bonds contract bonds court bonds subdivision/developer bonds fidelity bonds surety bonds. Customize this surety bond form template as needed and use it in your organization.

Surety Bond Representative Resume Example Wells Fargo Insurance Services Usa Inc North Arlington New Jersey , One Party Is Represented By The Obligee, And The Second Party Is Represented By The Principal.

11 Mortgage Bond Templates In Pdf Doc Free Premium Templates. Surety bonds help small businesses win contracts by providing the customer with a guarantee that the work will be completed. A surety bond is a contract between three parties—the principal (you), the surety (us) and the obligee (the entity requiring the bond)—in which. What is a surety bond? Copy this surety bond form sample into your 123formbuilder account and start editing it as you please within a. The cost of a surety bond can be based on a number of factors. A surety bond is kind of an insurance or guaranty agreement that includes three parties or individuals. Many public and private contracts require surety bonds, which are offered by. It is a three party contract between owner from financial losses if the construction. Surety bond cost calculator bond company comparison tool prorate calculator license & permit bonds contract bonds court bonds subdivision/developer bonds fidelity bonds surety bonds. The first party is the debtor or the person who owes money or services to another party. A surety bond is a form of a financial. Surety bonds come in various types, and are required for various reasons. There are many types of surety bonds, and there is no official or legal way that they are divided into categories. A performance bond protects the project. Customize this surety bond form template as needed and use it in your organization.

Wholesale Tobacco Dealer Bond Louisiana Ezsuretybonds Com . Performance & Surety Bonds Online.

Nevada Release Of Lien By Posting Surety Bond Legal Forms And Business Templates Megadox Com. A surety bond is kind of an insurance or guaranty agreement that includes three parties or individuals. A surety bond is a contract between three parties—the principal (you), the surety (us) and the obligee (the entity requiring the bond)—in which. Surety bonds help small businesses win contracts by providing the customer with a guarantee that the work will be completed. There are many types of surety bonds, and there is no official or legal way that they are divided into categories. Surety bonds come in various types, and are required for various reasons. The cost of a surety bond can be based on a number of factors. Customize this surety bond form template as needed and use it in your organization. What is a surety bond? Surety bond cost calculator bond company comparison tool prorate calculator license & permit bonds contract bonds court bonds subdivision/developer bonds fidelity bonds surety bonds. It is a three party contract between owner from financial losses if the construction. The first party is the debtor or the person who owes money or services to another party. A performance bond protects the project. Many public and private contracts require surety bonds, which are offered by. A surety bond is a form of a financial. Copy this surety bond form sample into your 123formbuilder account and start editing it as you please within a.

Surety Bond Request Form , A Surety Bond Is Kind Of An Insurance Or Guaranty Agreement That Includes Three Parties Or Individuals.

Champlin City License Permit Bond Suretypedia. A surety bond is kind of an insurance or guaranty agreement that includes three parties or individuals. It is a three party contract between owner from financial losses if the construction. A performance bond protects the project. Customize this surety bond form template as needed and use it in your organization. The cost of a surety bond can be based on a number of factors. Surety bonds come in various types, and are required for various reasons. Many public and private contracts require surety bonds, which are offered by. There are many types of surety bonds, and there is no official or legal way that they are divided into categories. Surety bond cost calculator bond company comparison tool prorate calculator license & permit bonds contract bonds court bonds subdivision/developer bonds fidelity bonds surety bonds. A surety bond is a contract between three parties—the principal (you), the surety (us) and the obligee (the entity requiring the bond)—in which. A surety bond is a form of a financial. The first party is the debtor or the person who owes money or services to another party. Copy this surety bond form sample into your 123formbuilder account and start editing it as you please within a. Surety bonds help small businesses win contracts by providing the customer with a guarantee that the work will be completed. What is a surety bond?

Surety Bond Agreement Awesome Bond Claim Letter Template Download Models Form Ideas , Surety Bonds Are Required By Municipalities Of Many Levels For Third Party Backing Of Licenses And Contracts.

Administration Cum Surety Bond Template For Download. The first party is the debtor or the person who owes money or services to another party. Copy this surety bond form sample into your 123formbuilder account and start editing it as you please within a. A surety bond is a contract between three parties—the principal (you), the surety (us) and the obligee (the entity requiring the bond)—in which. A performance bond protects the project. It is a three party contract between owner from financial losses if the construction. Surety bonds help small businesses win contracts by providing the customer with a guarantee that the work will be completed. A surety bond is kind of an insurance or guaranty agreement that includes three parties or individuals. Customize this surety bond form template as needed and use it in your organization. A surety bond is a form of a financial. What is a surety bond? Surety bonds come in various types, and are required for various reasons. Surety bond cost calculator bond company comparison tool prorate calculator license & permit bonds contract bonds court bonds subdivision/developer bonds fidelity bonds surety bonds. The cost of a surety bond can be based on a number of factors. Many public and private contracts require surety bonds, which are offered by. There are many types of surety bonds, and there is no official or legal way that they are divided into categories.

Sample Electronic Surety Bond : Surety Bond Cost Calculator Bond Company Comparison Tool Prorate Calculator License & Permit Bonds Contract Bonds Court Bonds Subdivision/Developer Bonds Fidelity Bonds Surety Bonds.

Microsoft Word Bail Bond Premium Receipt Fl 02 2007 May 2007 Fcs Doc Templates At Allbusinesstemplates Com. Many public and private contracts require surety bonds, which are offered by. Surety bond cost calculator bond company comparison tool prorate calculator license & permit bonds contract bonds court bonds subdivision/developer bonds fidelity bonds surety bonds. A surety bond is a form of a financial. It is a three party contract between owner from financial losses if the construction. The cost of a surety bond can be based on a number of factors. A surety bond is a contract between three parties—the principal (you), the surety (us) and the obligee (the entity requiring the bond)—in which. There are many types of surety bonds, and there is no official or legal way that they are divided into categories. What is a surety bond? Surety bonds come in various types, and are required for various reasons. The first party is the debtor or the person who owes money or services to another party. A performance bond protects the project. A surety bond is kind of an insurance or guaranty agreement that includes three parties or individuals. Surety bonds help small businesses win contracts by providing the customer with a guarantee that the work will be completed. Copy this surety bond form sample into your 123formbuilder account and start editing it as you please within a. Customize this surety bond form template as needed and use it in your organization.